Ir ao contido principal
AV
  • Inicio
  • Calendario
  • Máis
Neste momento está usando o acceso para convidados
Acceder
AV
Inicio Calendario
Expandir todo Contraer todo

Bloques

Omitir Busca nos foros

Busca nos foros

Busca avanzada
Omitir Próximos eventos

Próximos eventos

Non hai eventos próximos
Ir ao calendario...
Omitir Actividade recente

Actividade recente

Actividade dende mércores, 14 de xaneiro de 2026, 12:23 PM
Informe completo da actividade recente...

Sen actividade recente

  1. Taboleiro
  2. 1ºBACH_MATA
  3. TEMA 2. ARITMÉTICA DA ECONOMÍA

TEMA 2. ARITMÉTICA DA ECONOMÍA

  • TEMA 2. ARITMÉTICA DA ECONOMÍA


    • 1.Porcentaxes. 

      2.Porcentaxes encadeados. 

      3.Interese simple. 

      4.Interese composto. 

      5.Anualidades de capitalización. 

      6.Anualidades de amortización. 

      7.Tasa Anual Equivalente (TAE). 

      8.Números índice. 

      9.Índice de Prezos ao Consumo (IPC). 

      10.Enquisa de Poboación Activa (EPA).


    • Icona Ficheiro
      Tablas fórmulas aritmética financiera
    • Icona Cartafol
      Exercicios correxidos en clase
    • TAREFAS A ENTREGAR DE REPASO DO TEMA 2

    • Icona Tarefa
      Control de clase - Táboa de amortización
    • Icona Ficheiro
      Boletín de exercicios repaso Tema 2
    • Icona Ficheiro
      Solucións do boletín de exercicios do tema 2

      Correxiremos os exercicios na clase para repasar

      Correxiremos os exercicios na clase para repasar

    • EXERCICIOS DE REFORZO DO TEMA 2

    • Icona Ficheiro
      Exercicios resoltos de repaso do tema 2
    • 1. PORCENTAXES
    • 2. PORCENTAXES ENCADEADOS
    • VÍDEO SOBRE PROBLEMAS DE PORCENTAXES  -  REFORZO ESO

    • 3. INTERESE SIMPLE
    • Icona Ficheiro
      interese simple

      interese simple

    • 4. INTERESE COMPOSTO
    • Icona Ficheiro
      interese composto

      interese composto

    • Icona Ficheiro
      Comparación interese simple-composto
    • 5. ANUALIDADES DE CAPITALIZACIÓN.
    • Icona Páxina
      Demostración da suma dos n termos dunha progresión xeométrica
    • 6. ANUALIDADES DE AMORTIZACIÓN.
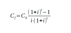
    • O capital prestado, Cf, que se devolve con unha anualidade de amortización C0, a un rédito r% durante t anos, pódese calcular do seguinte modo:

    • 7. TASA ANUAL EQUIVALENTE (TAE)
    • 8. NÚMEROS ÍNDICE
    • Icona URL
      IGE.Portal Educativo. Números índice.
    • 9. ÍNDICE DE PREZOS AO CONSUMO (IPC)
    • Icona URL
      Índice de Precios ao Consumo (IPC) INE
    • Icona URL
      ¿Qué es la inflación?
    • Icona Tarefa
      Cálculo da variación do IPC. Actualización de rentas
    • Icona Tarefa
      Contrasta noticias sobre o IPC
    • 10. ENQUISA DE POBOACIÓN ACTIVA (EPA)
    • Icona URL
      Información da EPA no INE
    • Icona URL
      Información sobre EPA no IGE
    • Icona Proba
      Cuestionario sobre a Enquisa de poboación activa (EPA)
    • Icona Tarefa
      Busca noticias sobre la EPA
    • Icona Tarefa
      Datos da EPA dos últimos anos e gráficas
Neste momento está usando o acceso para convidados (Acceder)
Resumo da retención de datos
Políticas
Obter a apli móbil
Fornecido por Moodle