Ir ao contido principal
AV
  • Galego ‎(gl)‎
    English ‎(en)‎ Español - Internacional ‎(es)‎ Français ‎(fr)‎ Galego ‎(gl)‎
Neste momento está usando o acceso para convidados (Acceder)

Electrotecnia 25-26

  1. Taboleiro
  2. Cursos
  3. ETAPA / CURSO - Materiais actuais
  4. CMIEA
  5. 1º CMIEA
  6. Electrotecnia 25-26
  7. UD8- Examen 14 de mayo
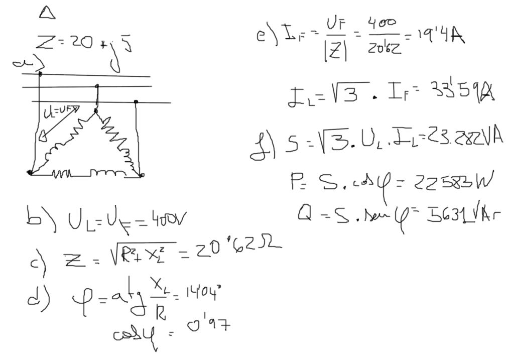
  8. TRIÁNGULO

TRIÁNGULO

Requisitos do completado
◄ ESTRELLA
UD-5 Magnetismo y Electromagnetismo ►

Bloques

Supplementary blocks

Omitir Navegación

Navegación

  • Taboleiro

    • Inicio do sitio

    • Páxinas do sitio

      • Os meus cursos

      • Etiquetas

      • ForoNoticias do sitio

    • Os meus cursos

    • Cursos

      • ETAPA / CURSO - Materiais actuais

        • ESO

        • BACH

        • CMIEA

          • 1º CMIEA

            • CMIEA 1ºINGLÉS 25/26

            • SASP 25-26

            • AI

            • SASP

            • Electrotecnia 25-26

              • Xeral

              • UD1

              • UD2

              • UD3

              • UD4

              • UD6

              • UD7

              • UD8- Examen 14 de mayo

                • FicheiroUD8 SISTEMAS TRIFÁSICOS

                • FicheiroSISTEMAS TRIFÁSICOS EJERCICIOS DE EXAMEN

                • FicheiroUD13-14 Seguridad en las instalaciones eléctricas

                • FicheiroESTRELLA

                • FicheiroTRIÁNGULO

              • Topic 9

            • IPEB

            • Electrónica 25-26

            • IPE I 25/26

            • ELCA 25/26

            • ELEC 25/26

          • 2º CMIEA

        • CSME

        • FPB Informática de Oficina

        • FP Básica Electricidade e Electrónica

        • ESA

        • CUALE

        • AULA DE APOIO

        • Pendentes

        • Tec II 24/25

        • IngBach1

      • PISA25

      • DEPARTAMENTOS - Repositorio obsoletos

      • PROXECTOS

      • OUTROS

Neste momento está usando o acceso para convidados (Acceder)
Electrotecnia 25-26
  • Galego ‎(gl)‎
    • English ‎(en)‎
    • Español - Internacional ‎(es)‎
    • Français ‎(fr)‎
    • Galego ‎(gl)‎
Resumo da retención de datos
Políticas
Obter a apli móbil