Section outline
-
CAMPO GRAVITATORIO
-
Experimento de Cavendish
-
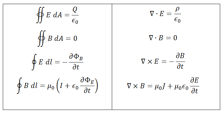
ELECTROMAGNETISMO
-
MOVEMENTO OSCILATORIO HARMÓNICO SIMPLE
-
MOVEMENTO ONDULATORIO
-
Catro páxinas con simulacións interactivas, java sobre todo:
-
ÓPTICA
-
-
FÍSICA CUÁNTICA
