Milucho_2BACHMatemática II 2025/26
Curso: Milucho_2BACHMatemática II 2025/26 | AV San PAIO
-
0
1
2
3
4
5
6
7
8
9
10
11
12
13
14
-
Tema 5: A integral indefinida.
Integrais indefinidas. Métodos de integración.
-
Apuntes e vídeos.
-
Imprescindíbel.
Serie de vídeos sobre integración, moi completos, sobre os dous temas de integración.
Aquí tedes a lista de reprodución completa. Inclúe moitos exercicios e exemplos (so faltan as integrais de funcións racionais).
nº vídeos Apartado Tema 1-3 Introdución, definición e propiedades. 5. Integral indefinida 4-8 Integrais básicas. 5. Integral indefinida 9-16 Integrais inmediatas. 5. Integral indefinida 17-22 Integrais por partes. 5. Integral indefinida 22-30 Tema seguinte 6. Integral definida. Cálculo áreas. Algúns están repetidos nos métodos de integración.
-
Apuntes do tema feitos polo profesor Lorente Navarro. Moi claros pero poucos exercicios.
Imprimir.
-
-
-
Exercicios resoltos.
-
Exercicios de integrais por distintos métodos, sobre primitivas... completo.
-
Métodos de integración: Cambio de variable.
-
Métodos de integración: Integrais por partes.

-
-
-
Vídeo introducción á integral por partes, continuación cun novo exercicio.
-
-
-
Métodos de integración:
Integrais de funcións racionais. -
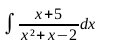
Vídeo introducción á integral de funcións racionais cando o denominador ten raíces reais e simples (distintas).

-
Vídeo introducción á integral de funcións racionais cando o denominador ten raíces reais e algunha é múltiple.

-
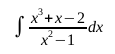
Vídeo introducción á integral de funcións racionais cando o grao do numerador é maior que o grao do denominador.

-
Vídeo dunha integral de funcións racionais cando o grao do numerador é maior que o grao do denominador.
-
Integrais racionais ou que se tranforman nunha racional.
-