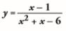
Determina el dominio de la siguiente función:
(–∞, –3)
(–3, 2)
(2, +∞)
(–∞, –3) U (2, +∞)
(–∞, –3) U (–3, 2) U (2, +∞)