Lección: Características de una función (I)
Requisitos de finalización
Ha obtenido 1 punto(s) sobre 1 hasta ahora.
6.3.1. Dominio de definición
El dominio de definición de una función puede quedar restringido por una de las siguientes causas:
a) Imposibilidad de realizar alguna operación. Esto ocurre si:
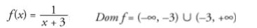
I. Si hay denominadores: Valores que anulan el denominador.
II. Si hay Raíces cuadradas: valores que hacen que la expresión bajo la raíz sea negativa.
b) Contexto real del cual se ha extraído la función. Ej; si tenemos una función A=l2 que representa el área del cuadrado en función del lado, la longitud del lado debe ser positiva. Entonces el dominio es (0,∞).
c) Voluntad de quien la propone. Cuando se especifica el dominio concreto.
De forma resumida: