Salta al contenido principal
Panel lateral
Página Principal
Calendario
Mis accesos
Web IES Ricardo Mella
Portal Educativo
Formación profesional
Ir a Google
Más
En este momento está usando el acceso para invitados
Acceder
Página Principal
Calendario
Mis accesos
Colapsar
Expandir
Web IES Ricardo Mella
Portal Educativo
Formación profesional
Ir a Google
Expandir todo
Colapsar todo
Abrir índice del curso
Abrir cajón de bloques
Matemáticas aplicadas I 1º BACH CCSS
Álgebra
Lección 1: Ecuaciones de 2º grado
Lección 1: Ecuaciones de 2º grado
Requisitos de finalización
Abrió:
martes, 12 de noviembre de 2024, 09:00
Ha obtenido 0 punto(s) sobre 0 hasta ahora.
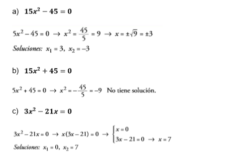
Ejemplos
A continuación se muestran una serie de ejemplos de resolución de ecuaciones de segundo grado:
Página siguiente
Página anterior
Ha alcanzado el 44% de esta lección
44%