Ha obtenido 0 punto(s) sobre 0 hasta ahora.

1.1. Ecuaciones de segundo grado completas

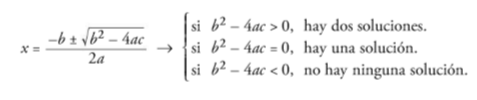
Las ecuaciones de segundo grado completas, se calculan mediante la fórmula:

Ejemplo: Resuelve la ecuación x2 +5x+6=0

Solución: para aplicar la fórmula, debemos de tener en cuenta que a=1; b= 5; c=6

Ha alcanzado el 44% de esta lección
44%