Ir ao contido principal
av
  • Inicio
  • Calendario
  • Máis
Neste momento está usando o acceso para convidados
Acceder
av
Inicio Calendario
Expandir todo Contraer todo
  1. Taboleiro
  2. MATAC4_2021
  3. Unidad 2. POTENCIAS Y RADICALES. LOGARITMOS
  4. Foro: Resolver Ecuaciones Exponenciales

Foro: Resolver Ecuaciones Exponenciales

Requisitos do completado

Cada uno de vosotros ha de responder a uno de los ejercicios propuestos:

Las normas de este  Foro son:

  • Las respuestas son calificables. 
  • No se puede responder dos veces a la misma cuestión en el Foro, a no ser que sea para mejorar la respuesta anterior. En ese caso la puntuación de reparte. 40%,60%
  • Cada respuesta ha estar bien escrita y expresada con corrección, sin faltas de ortografía. 
  • Para utilizar lenguaje matemático podéis usar este enlace.


EN EL SIGUIENTE FORO...(VER ESTE FICHERO)



Engadir tema de debate
Imaxe de Usuario eliminado

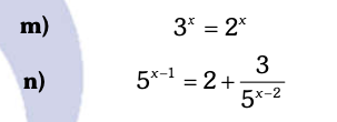
Resuelve 7

por Usuario eliminado - mércores, 21 de outubro de 2020, 9:43 PM



Ligazón permanente
Discutir este asunto  (1 resposta ata agora)
Imaxe de Usuario eliminado

Resuelve 6

por Usuario eliminado - mércores, 21 de outubro de 2020, 9:42 PM



Ligazón permanente
Discutir este asunto  (1 resposta ata agora)
Imaxe de Usuario eliminado

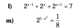
Resuelve 5

por Usuario eliminado - mércores, 21 de outubro de 2020, 9:41 PM


Ligazón permanente
Discutir este asunto  (1 resposta ata agora)
Imaxe de Usuario eliminado

Resuelve 4

por Usuario eliminado - mércores, 21 de outubro de 2020, 9:40 PM


Ligazón permanente
Discutir este asunto  (0 respostas ata agora)
Imaxe de Usuario eliminado

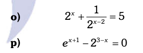
Resuelve 3

por Usuario eliminado - mércores, 21 de outubro de 2020, 9:39 PM


Ligazón permanente
Discutir este asunto  (0 respostas ata agora)
Imaxe de Usuario eliminado

Resuelve 2

por Usuario eliminado - mércores, 21 de outubro de 2020, 9:38 PM


Ligazón permanente
Discutir este asunto  (0 respostas ata agora)
Imaxe de Usuario eliminado

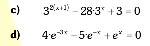
Resuelve 1

por Usuario eliminado - mércores, 21 de outubro de 2020, 9:38 PM


Ligazón permanente
Discutir este asunto  (3 respostas ata agora)
Neste momento está usando o acceso para convidados (Acceder)
Resumo da retención de datos
Políticas
Obter a apli móbil
Fornecido por Moodle