Ir ao contido principal
av
  • Inicio
  • Calendario
  • Máis
Neste momento está usando o acceso para convidados
Acceder
av
Inicio Calendario
Expandir todo Contraer todo
  1. Taboleiro
  2. MATAC4_2021
  3. Unidad 2. POTENCIAS Y RADICALES. LOGARITMOS
  4. Foro: Ecuaciones con logaritmos.

Foro: Ecuaciones con logaritmos.

Requisitos do completado

Cada uno de vosotros ha de responder a uno de los ejercicios propuestos:

Las normas de este  Foro son:

  • Las respuestas son calificables. 
  • No se puede responder dos veces en el mismo Foro, a no ser que sea para mejorar la respuesta anterior. En ese caso la puntuación de reparte. 40%,60%
  • Cada respuesta ha estar bien escrita y expresada con corrección, sin faltas de ortografía. 
  • Para utilizar lenguaje matemático podéis usar este enlace.




Engadir tema de debate
Imaxe de Usuario eliminado

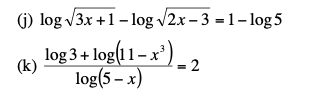
Ecuaciones Logaritmos 6

por Usuario eliminado - mércores, 21 de outubro de 2020, 7:21 PM


Ligazón permanente
Discutir este asunto  (3 respostas ata agora)
Imaxe de Usuario eliminado

Ecuaciones Logaritmos 5

por Usuario eliminado - mércores, 21 de outubro de 2020, 7:20 PM


Ligazón permanente
Discutir este asunto  (2 respostas ata agora)
Imaxe de Usuario eliminado

Ecuaciones Logaritmos 4

por Usuario eliminado - mércores, 21 de outubro de 2020, 7:19 PM


Ligazón permanente
Discutir este asunto  (3 respostas ata agora)
Imaxe de Usuario eliminado

Ecuaciones Logaritmos 3

por Usuario eliminado - mércores, 21 de outubro de 2020, 7:18 PM


Ligazón permanente
Discutir este asunto  (3 respostas ata agora)
Imaxe de Usuario eliminado

Ecuaciones logaritmos 2

por Usuario eliminado - mércores, 21 de outubro de 2020, 7:17 PM


Ligazón permanente
Discutir este asunto  (1 resposta ata agora)
Imaxe de Usuario eliminado

Ecuaciones Logaritmos 1

por Usuario eliminado - mércores, 21 de outubro de 2020, 5:34 PM


Ligazón permanente
Discutir este asunto  (1 resposta ata agora)
Imaxe de Usuario eliminado

Cálculo con propiedades de los logaritmos:

por Usuario eliminado - mércores, 21 de outubro de 2020, 5:33 PM


Ligazón permanente
Discutir este asunto  (1 resposta ata agora)
Neste momento está usando o acceso para convidados (Acceder)
Resumo da retención de datos
Políticas
Obter a apli móbil
Fornecido por Moodle