EXPRESIONES ALGEBRAICAS. MONOMIOS.
| Sitio: | Aula Virtual do IES Alexandre Bóveda |
| Curso: | Matemáticas 2º ESO |
| Libro: | EXPRESIONES ALGEBRAICAS. MONOMIOS. |
| Imprimido por: | Usuario convidado |
| Día: | lunes, 18 de mayo de 2026, 01:49 |
Descripción
EXPRESIONES ALGEBRAICAS
1. EXPRESIONES ALGEBRAICAS I
El lenguaje algebraico es el que utiliza letras en combinación con números y signos de operaciones. El lenguaje algebraico lo usamos, por ejemplo:
- Para expresar propiedades de las operaciones aritméticas (identidades)
Ejemplo: la propiedad conmutativa. “El orden de los factores no altera el producto”. Esta propiedad, con el lenguaje algebraico, quedaría de la siguiente manera a · b = b · a
- Para manejar números de valor indeterminado y sus operaciones (expresiones algebraicas)
Ejemplos:
Un número natural.......................................................................... n
El siguiente número natural............................................................ n + 1
El triple del número........................................................................ 3·n
Un número par................................................................................ 2·n
Un número impar............................................................................ 2·n + 1
- Para expresar la relación entre varias variables de magnitudes distintas (fórmulas)
“la relación que existe entre el radio y la longitud de una circunferencia” L=2·π·r
- Para expresar relaciones que faciliten la resolución de problemas (ecuaciones)
Calcula un número que sumando 2 da 5 unidades x + 2 = 5 x = 3
Llamamos expresión algebraica a una combinación de letras y de números unidos entre sí por los signos de las operaciones aritméticas. Los elementos de una expresión algebraica son:
- Términos: cada uno de los sumandos.
- Término independiente: el que solo tiene parte numérica.
- Parte literal o variables: las letras que representan cantidades desconocidas.
- Coeficiente: la parte numérica que multiplica las variables.

2. Valor numérico de una expresión algebraica
El valor numérico es el valor que toma la expresión algebraica cuando sustituimos las letras por números y realizamos las operaciones:

3. Monomios
Un monomio es una expresión algebraica que consiste en el producto de un número conocido (coeficiente) por una o varias letras (parte literal) elevadas a números naturales.
El grado de una letra es el exponente al que está elevada. Llamamos grado de un monomio a la suma de los grados de las letras que forman la parte literal.

4. Suma y resta de monomios
Monomios semejantes son los que tienen la misma parte literal, es decir, las mismas letras con los mismos exponentes.
Une los monomios semejantes: 
Los monomios solamente se pueden sumar (o restar) cuando son semejantes, es decir, cuando tienen la misma parte literal. Se suman (o restan) los coeficientes y se pone la misma parte literal. Cuando no son semejantes, la operación se deja indicada.

5. Multiplicación de monomios
El producto de dos o más monomios da como resultado otro monomio que va a tener como coeficiente el producto de los coeficientes, y como parte literal el producto de las partes literales.

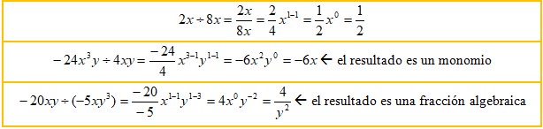
6. División de monomios
El cociente de dos monomios da como resultado una expresión algebraica que va a tener como coeficiente el cociente de los coeficientes, y como parte literal el cociente de las partes literales. El resultado no tiene por qué ser un monomio.
