Ejemplo de función continua y derivable y que su derivada no continua
Requisitos de finalización
Ver
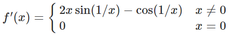
Un ejemplo clásico sería:


Pues bien, puedes ver que en todos los puntos puedes definir su derivada como:
El problema es que esta segunda función NO es continua.
Última modificación: sábado, 9 de septiembre de 2023, 16:53