Ir ao contido principal
AV CIFP VPA
  • Inicio
  • Calendario
  • Máis
Galego ‎(gl)‎
English ‎(en)‎ Español - Internacional ‎(es)‎ Galego ‎(gl)‎ Português - Portugal ‎(pt)‎
Neste momento está usando o acceso para convidados
Acceder
AV CIFP VPA
Inicio Calendario
Expandir todo Contraer todo
  1. Taboleiro
  2. SIELSC_RGJC_22-23
  3. TEMA 1: CIRCUITOS ELÉCTRICOS
  4. Soluciones a los problemas con resistencias

Soluciones a los problemas con resistencias

Requisitos do completado
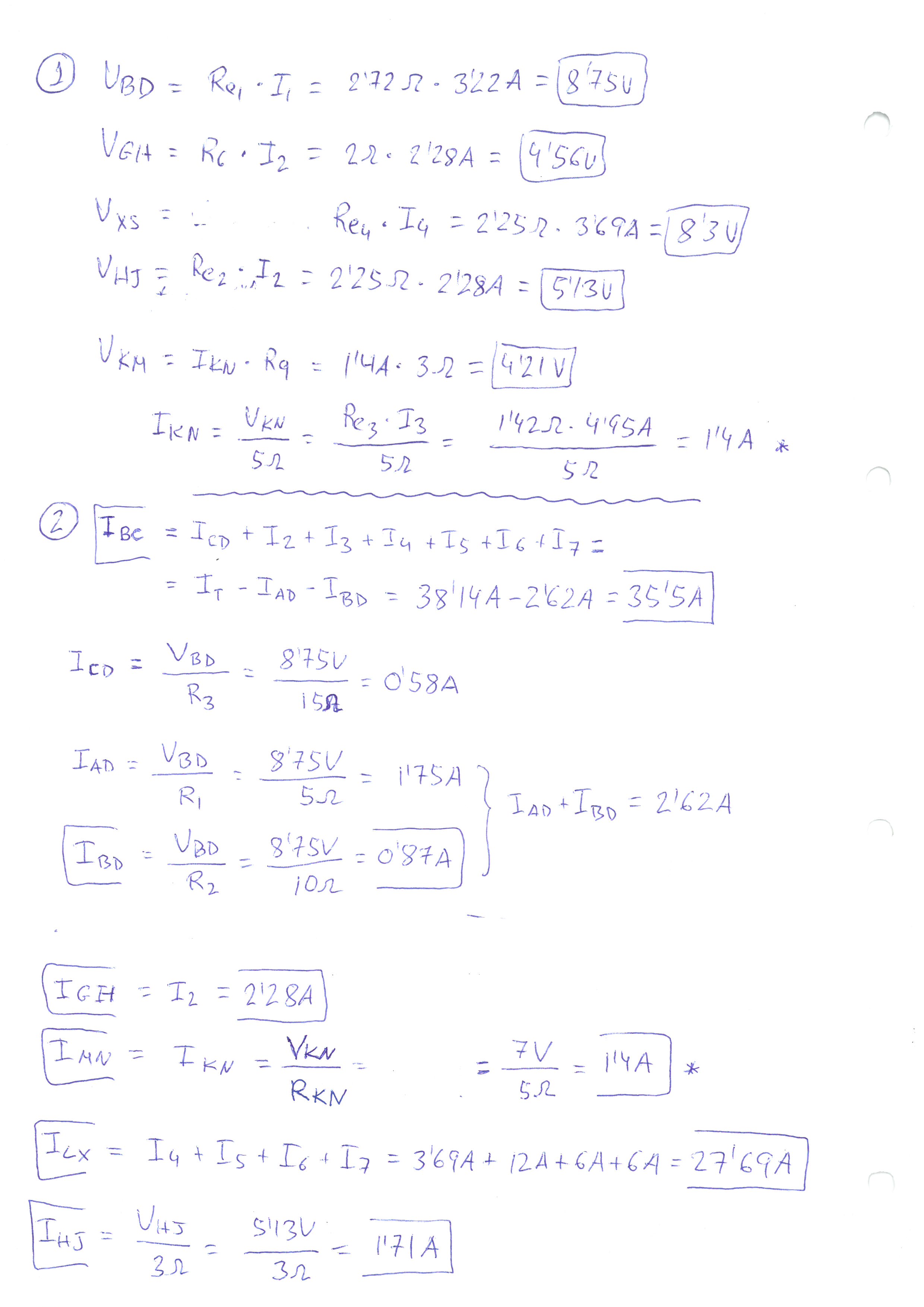
    • Solucion 000 Solucion 000
      • SOLUCION 00A.jpg
      • SOLUCION 00B.jpg
    • Solución 001 Solución 001
      • SOLUCION 01A.jpg
      • SOULUCION 01B.jpg
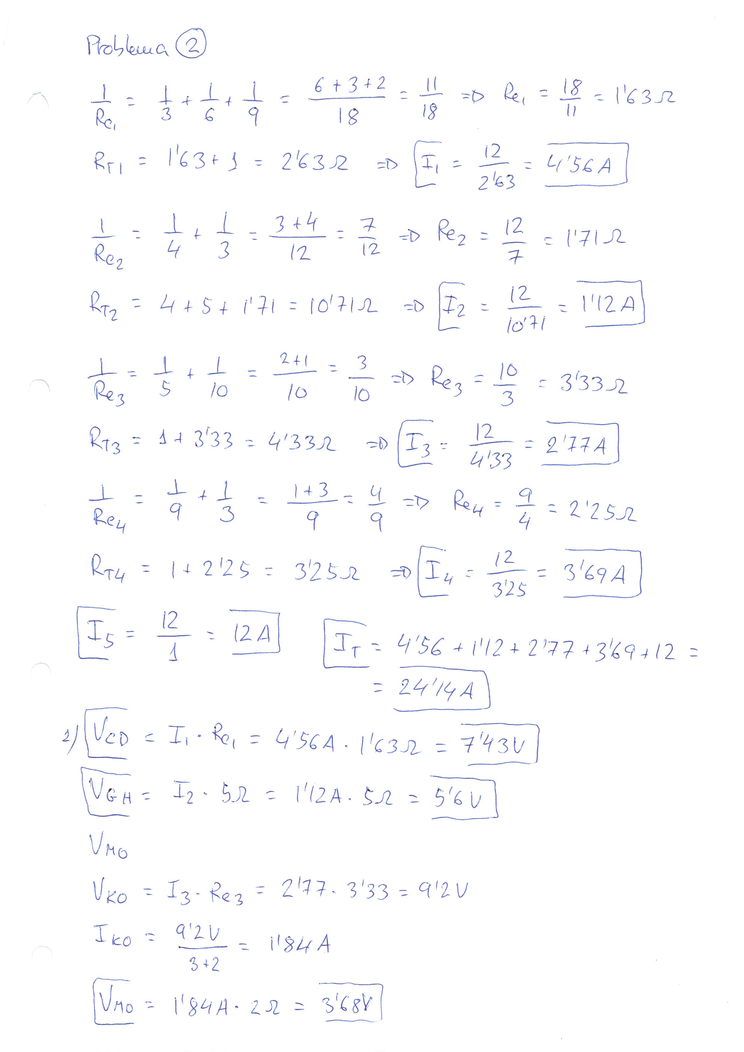
    • Solución 002 Solución 002
      • SOLUCION 02A.jpg
      • SOLUCION 02B.jpg
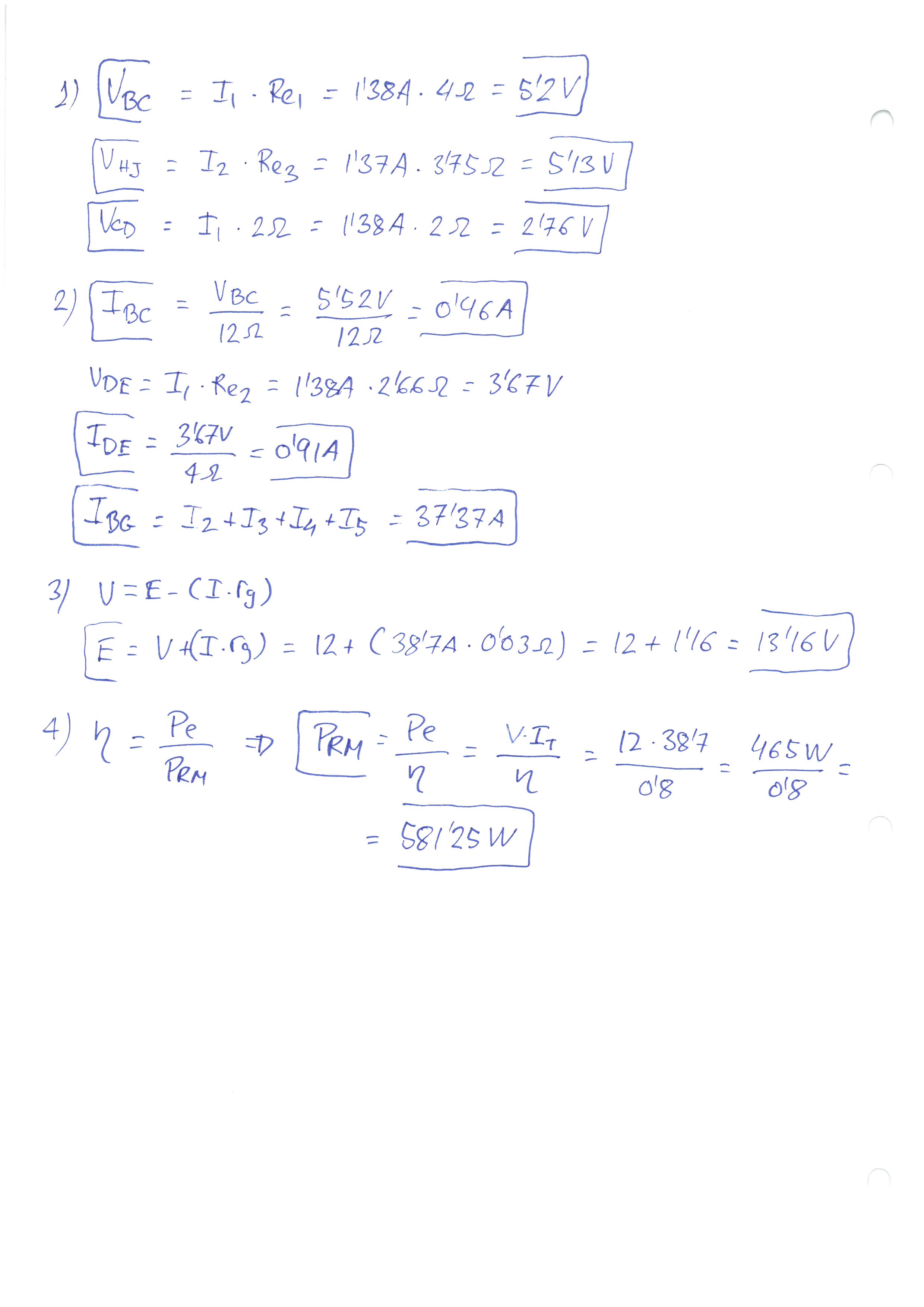
    • Solución 003 Solución 003
      • SOLUCION 03A.jpg
      • SOLUCION 03B.jpg
      • SOLUCION 03C.jpg
Neste momento está usando o acceso para convidados (Acceder)
Resumo da retención de datos
Políticas
Obter a apli móbil
Fornecido por Moodle